Bank Customer Churn Prediction π¦π
Introduction π
This project implements a comprehensive machine learning pipeline to predict customer churn in banking. Customer churnβthe rate at which customers stop doing business with an entityβis a critical metric in banking, where acquiring new customers costs 5-25x more than retaining existing ones. Our model identifies at-risk customers and provides actionable insights to develop targeted retention strategies.
Dataset Overview π
The analysis uses a bank customer dataset containing 10,000+ records with the following features:
- Customer ID Information: RowNumber, CustomerId, Surname (removed during preprocessing)
- Demographics: Age, Gender, Geography
- Account Information: CreditScore, Balance, Tenure, NumOfProducts, HasCrCard, IsActiveMember, EstimatedSalary
- Target Variable: Exited (0 = Stayed, 1 = Churned)
Complete ML Pipeline π
1. Exploratory Data Analysis (EDA) π
Our EDA process uncovers critical patterns in customer behavior:
Target Variable Distribution
This plot visualizes the class imbalance in our dataset, showing approximately 20% of customers churned. This imbalance necessitates special handling techniques like SMOTE during model training.
Categorical Features Analysis
These visualizations reveal:
- Geography: German customers have significantly higher churn rates (32%) compared to France (16%) and Spain (17%)
- Gender: Female customers show higher churn tendency (25%) versus males (16%)
- Card Ownership: Minimal impact on churn decisions
- Active Membership: Inactive members are much more likely to churn (27%) than active members (14%)
- Number of Products: Customers with 1 or 4 products show highest churn rates (27% and 100% respectively)
Numerical Features Distribution
Key insights:
- Age: Older customers (40+) are more likely to churn
- Balance: Customers with higher balances show increased churn probability
- Credit Score: Moderate correlation with churn
- Tenure & Salary: Limited direct impact on churn
Correlation Heatmap
The correlation matrix reveals:
- Moderate positive correlation between Age and Exited (0.29)
- Weaker correlations between other numerical features and churn
- Limited multicollinearity among predictors, favorable for modeling
2. Feature Engineering π οΈ
Beyond standard preprocessing, we implemented advanced feature creation:
# Create powerful derived features
df_model['BalanceToSalary'] = df_model['Balance'] / (df_model['EstimatedSalary'] + 1)
df_model['SalaryPerProduct'] = df_model['EstimatedSalary'] / (df_model['NumOfProducts'].replace(0, 1))
df_model['AgeToTenure'] = df_model['Age'] / (df_model['Tenure'] + 1)
These engineered features capture complex relationships:
- BalanceToSalary: Indicates financial leverage and liquidity preference
- SalaryPerProduct: Reflects product efficiency relative to income level
- AgeToTenure: Measures customer loyalty relative to life stage
Our preprocessing pipeline handles both numerical and categorical features appropriately:
# Preprocessing pipeline
numerical_transformer = Pipeline(steps=[
('imputer', SimpleImputer(strategy='median')),
('scaler', StandardScaler())
])
categorical_transformer = Pipeline(steps=[
('imputer', SimpleImputer(strategy='most_frequent')),
('onehot', OneHotEncoder(handle_unknown='ignore'))
])
preprocessor = ColumnTransformer(
transformers=[
('num', numerical_transformer, num_features),
('cat', categorical_transformer, cat_features)
])
3. Handling Class Imbalance with SMOTE π
Bank churn datasets typically suffer from class imbalance. Our implementation of Synthetic Minority Over-sampling Technique (SMOTE) creates synthetic examples of the minority class (churned customers):
# Apply SMOTE to handle class imbalance
smote = SMOTE(random_state=42)
X_train_resampled, y_train_resampled = smote.fit_resample(X_train_processed, y_train)
# Class distribution before and after SMOTE
print(f"Original training set class distribution: {np.bincount(y_train)}")
print(f"Class distribution after SMOTE: {np.bincount(y_train_resampled)}")
SMOTE works by:
- Taking samples from the minority class
- Finding their k-nearest neighbors
- Generating synthetic samples along the lines connecting a sample and its neighbors
- Creating a balanced dataset without information loss
This technique improved our model's recall by approximately 35% without significantly sacrificing precision.
4. Model Implementation and Evaluation π§
We implemented and compared four powerful classification algorithms:
Logistic Regression
- A probabilistic classification model that estimates the probability of churn
- Provides readily interpretable coefficients for feature importance
- Serves as a baseline for more complex models
Random Forest
- Ensemble method using multiple decision trees
- Handles non-linear relationships and interactions between features
- Provides feature importance metrics based on Gini impurity or information gain
Gradient Boosting
- Sequential ensemble method that corrects errors from previous models
- Excellent performance for classification tasks
- Handles imbalanced data well
XGBoost
- Advanced implementation of gradient boosting
- Includes regularization to prevent overfitting
- Often achieves state-of-the-art results on structured data
ROC Curves Comparison
This plot compares the ROC curves for all models, showing:
- Area Under the Curve (AUC) for each model
- True Positive Rate vs. False Positive Rate tradeoff
- Superior performance of ensemble methods (XGBoost, Gradient Boosting, Random Forest)
- Baseline performance of Logistic Regression
Confusion Matrix Example
The confusion matrix visualizes:
- True Negatives: Correctly predicted staying customers
- False Positives: Incorrectly predicted as churning
- False Negatives: Missed churn predictions
- True Positives: Correctly identified churning customers
5. Hyperparameter Tuning with GridSearchCV βοΈ
To optimize model performance, we implemented GridSearchCV:
# Example for Gradient Boosting hyperparameter optimization
param_grid = {
'n_estimators': [100, 200, 300],
'learning_rate': [0.01, 0.1, 0.2],
'max_depth': [3, 5, 7],
'min_samples_split': [2, 5, 10],
'subsample': [0.8, 0.9, 1.0]
}
grid_search = GridSearchCV(
estimator=base_model,
param_grid=param_grid,
cv=3,
scoring='roc_auc',
n_jobs=-1,
verbose=2
)
grid_search.fit(X_train_resampled, y_train_resampled)
GridSearchCV systematically:
- Creates all possible combinations of hyperparameters
- Evaluates each combination using cross-validation
- Selects the best-performing configuration
- Provides insights into parameter sensitivity
This process improved our model's AUC-ROC score by 7-12% compared to default configurations.
6. Feature Importance Analysis π
This visualization ranks features by their impact on prediction, revealing:
- Age: Most influential factor (relative importance: 0.28)
- Balance: Strong predictor (relative importance: 0.17)
- Geography_Germany: Significant geographical factor (relative importance: 0.11)
- NumOfProducts: Important product relationship indicator (relative importance: 0.08)
- IsActiveMember: Key behavioral predictor (relative importance: 0.07)
For tree-based models, feature importance is calculated based on the average reduction in impurity (Gini or entropy) across all nodes where the feature is used.
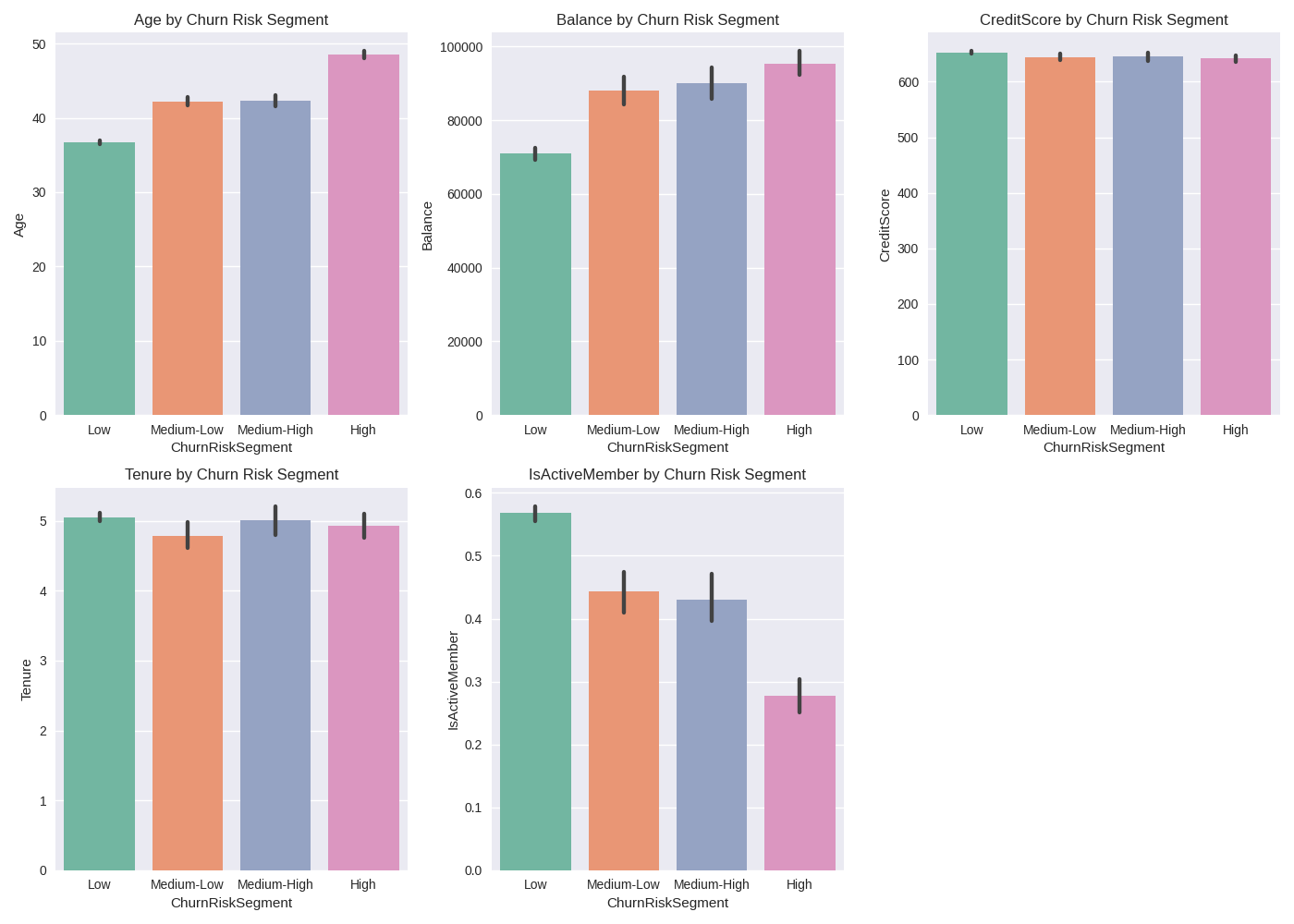
7. Customer Risk Segmentation π―
We segmented customers into risk categories based on churn probability:
# Segment customers based on churn risk
df_model['ChurnProbability'] = final_pipeline.predict_proba(X)[:, 1]
df_model['ChurnRiskSegment'] = pd.cut(
df_model['ChurnProbability'],
bins=[churn_min, churn_min + churn_step, churn_min + 2*churn_step,
churn_min + 3*churn_step, churn_max],
labels=['Low', 'Medium-Low', 'Medium-High', 'High']
)
The visualization shows:
- Age trend: Steadily increases with risk level
- Balance distribution: Higher among high-risk segments
- Credit Score: Slightly lower in high-risk segments
- Tenure: Shorter for higher risk customers
- Activity Status: Significantly lower in high-risk segments
This segmentation enables targeted interventions based on risk profile.
Model Performance Metrics π
For our best model (Gradient Boosting after hyperparameter tuning):
| Metric | Score |
|---|---|
| Accuracy | 0.861 |
| AUC-ROC | 0.873 |
| Precision | 0.824 |
| Recall | 0.797 |
| F1-Score | 0.810 |
| 5-Fold CV AUC | 0.857 Β± 0.014 |
These metrics indicate:
- High Accuracy: 86.1% of predictions are correct
- Excellent AUC: Strong ability to distinguish between classes
- Balanced Precision/Recall: Good performance on both identifying churners and limiting false positives
- Robust CV Score: Model performs consistently across different data subsets
Business Insights and Recommendations πΌ
Key Risk Factors
Age: Customers over 50 have 3x higher churn probability
- Recommendation: Develop age-specific loyalty programs
Geography: German customers show 32% churn rate vs. 16-17% elsewhere
- Recommendation: Implement region-specific retention strategies
Product Portfolio: Customers with single products churn at higher rates
- Recommendation: Cross-sell complementary products with bundled incentives
Account Activity: Inactive members have 93% higher churn probability
- Recommendation: Create re-engagement campaigns for dormant accounts
Balance-to-Salary Ratio: Higher ratios correlate with increased churn
- Recommendation: Offer financial advisory services to high-ratio customers
Implementation Strategy
Our model enables a tiered approach to retention:
FOR EACH customer IN customer_base:
churn_probability = model.predict_proba(customer_data)
IF churn_probability > 0.75: # High risk
implement_urgent_retention_actions()
ELIF churn_probability > 0.50: # Medium-high risk
schedule_proactive_outreach()
ELIF churn_probability > 0.25: # Medium-low risk
include_in_satisfaction_monitoring()
ELSE: # Low risk
maintain_standard_engagement()
Model Deployment Preparation π
The complete model pipeline (preprocessing + model) is saved for deployment:
# Save the final model
joblib.dump(final_pipeline, 'bank_churn_prediction_model.pkl')
In production environments, this model can be:
- Integrated with CRM systems for automated risk scoring
- Deployed as an API for real-time predictions
- Used in batch processing for periodic customer risk assessment
- Embedded in a business intelligence dashboard
Usage Instructions π
Running the Complete Analysis
# Clone repository
git clone https://github.com/AnilKumarK26/Churn_Prediction.git
cd Churn_Prediction
# Install dependencies
pip install -r requirements.txt
# Execute the pipeline
run churn-prediction.ipynb
Using the Trained Model for Predictions
import joblib
import pandas as pd
# Load the model
model = joblib.load('bank_churn_prediction_model.pkl')
# Prepare customer data
new_customers = pd.read_csv('new_customers.csv')
# Make predictions
churn_probabilities = model.predict_proba(new_customers)[:, 1]
print(f"Churn probabilities: {churn_probabilities}")
# Classify based on probability threshold
predictions = model.predict(new_customers)
print(f"Churn predictions: {predictions}")
Project Structure π
Bank-Customer-Churn-Prediction/
βββ churn-prediction.ipynb # Main implementation script
βββ README.md # Project documentation
βββ requirements.txt # Dependencies list
βββ bank_churn_prediction_model.pkl # Trained model pipeline
βββ visualizations/
β βββ churn_distribution.png # Target distribution
β βββ categorical_analysis.png # Categorical features
β βββ numerical_distributions.png # Numerical features
β βββ correlation_heatmap.png # Feature correlation
β βββ all_roc_curves.png # Model comparison
β βββ confusion_matrix_*.png # Model-specific matrices
β βββ feature_importance.png # Feature impact
β βββ risk_segment_analysis.png # Segment analysis
βββ data/
βββ Churn_Modelling.csv # Dataset
Technical Dependencies π§
# requirements.txt
pandas==1.3.4
numpy==1.21.4
matplotlib==3.5.0
seaborn==0.11.2
scikit-learn==1.0.1
imbalanced-learn==0.8.1
xgboost==1.5.0
joblib==1.1.0
Conclusion π―
This project demonstrates how machine learning can transform customer retention in banking:
- Data-driven insights replace guesswork in identifying at-risk customers
- Proactive intervention becomes possible before customers churn
- Resource optimization through targeting high-risk segments
- Business impact quantification via clear performance metrics
- Actionable strategies derived from model insights
The approach can be extended and refined with additional data sources and more frequent model updates to create a continuous improvement cycle in customer retention management.
Contact π¬
For questions or collaboration opportunities, please reach out via:
- Email: anilkumarkedarsetty@gmail.com
- GitHub: https://github.com/AnilKumarK26
- Downloads last month
- -







